CSCO 2020重磅丨陈文明教授披露国家I类新药重组变构人肿瘤坏死因子相关凋亡诱导配体(CPT)联合TD治疗RRMM的研究效果
- 分类:行业资讯
- 作者:
- 泉源:
- 宣布时间:2020-09-24 14:07
- 会见量:
【提要形貌】
CSCO 2020重磅丨陈文明教授披露国家I类新药重组变构人肿瘤坏死因子相关凋亡诱导配体(CPT)联合TD治疗RRMM的研究效果
【提要形貌】
- 分类:行业资讯
- 作者:
- 泉源:
- 宣布时间:2020-09-24 14:07
- 会见量:
首都医科大学隶属北京向阳医院 冷芸 报道
前言
2020年9月19日~9月26日,,,中国肿瘤届学术盛会,,,第23届天下临床肿瘤学大会暨2020年CSCO学术年会将以网络在线直播的方式举行。。。时代,,,首都医科大学隶属北京向阳医院陈文明教授牵头开展的重组变构人肿瘤坏死因子相关凋亡诱导配体(CPT)联合沙利度胺(T)和地塞米松(D)治疗复发或难治多发性骨髓瘤:多中心、双盲、随机比照Ⅲ期临床试验(CPT-MM301试验)入选血液科分会场论文交流,,,并将于19日下昼17:00-17:10于分会场3-血液病专场举行分享,,,现该临床试验主要研究效果举行解读。。。
多发性骨髓瘤(MultipleMyeloma,,,MM)是浆细胞恶性增殖性疾病。。,,以卵白酶体抑制剂、免疫调理剂、单克隆抗体等新型药物的应用改善了多发性骨髓瘤患者的预后,,,但多发性骨髓瘤仍是不可治愈的疾病。。,,患者终将耐药复发,,,有须要研发新的抗骨髓瘤药物。。。
肿瘤坏死因子相关凋亡诱导配体(TNF-related apoptosis inducing ligand,,,TRAIL)普遍表达于人体的种种组织,,,可选择性地诱导多种肿瘤细胞及转化细胞的凋亡,,,而对正常细胞无显着的毒性作用,,,提醒TRAIL在肿瘤的治疗中具有潜在的应用远景。。。
重组变构人肿瘤坏死因子相关凋亡诱导配体(Circularly Permuted TRAIL,,,CPT)由TRAIL演变而来,,,作用机制与TRAIL相同,,,其在体内与殒命受体(DR)连系,,,诱导骨髓瘤细胞凋亡。。。在已完成的体外试验及一项I期和多项II期临床试验中,,,均体现出优异的抗肿瘤活性及较小的副作用。。。
为进一步验证CPT治疗复发或难治的多发性骨髓瘤患者的疗效及清静性,,,沙东生物组织海内多家临床试验机构开展了CPT联合沙利度胺和地塞米松(TD方案)与单用TD方案相比治疗复发或难治的多发性骨髓瘤的多中心、随机、双盲、慰藉剂比照的III期临床试验。。。
本试验共有49家中心加入,,,合计入组417例曾接受过至少2个治疗多发性骨髓瘤方案后复发或难治的多发性骨髓瘤患者,,,按2:1的比例随机分配至试验组(n=278)和比照组(n=139),,,划分接受CPT联合沙利度胺和地塞米松方案(TD方案)和慰藉剂联合TD方案的治疗。。。(图1)

图1. CPT-MM301试验加入单位
两组受试者的基线疾病状态和既往治疗史无显着偏倚,,,生齿学特征平衡;;;;既往治疗方案数中位数为3个,,,约半数的受试者一经接受的治疗方案数≥4个,,,受试者在加入本研究前所有接受过糖皮质激素治疗、凌驾70%接受过卵白酶体抑制剂(如硼替佐米、卡非佐米)治疗、近85%接受过免疫调理剂(如沙利度胺、来那度胺)治疗、近75%接受过TD或来那度胺联合地塞米松(RD)标准方案治疗。。。总之,,,本试验入组受试者既往经由了多次治疗、相对更晚期、更难治。。。(图2)

图2.基线疾病状态和既往治疗史
CPT和慰藉剂按天天静脉滴注1次(10mg/kg),,,每疗程一连5天给药,,,每4周为1疗程,,,直到疾病希望、不可耐受的不良反映或完成18疗程的治疗。。。两组沙利度胺和地塞米松用法用量相同,,,沙利度胺口服天天1次(150mg/天),,,地塞米松每疗程第1~4天口服(40mg/天)。。。
最终的研究效果也显示:主要疗效终点指标无希望生涯期(PFS)及要害次要终点指标OS、总体反映率(ORR)、疾病希望时间(TTP),,,试验组均体现出显著获益。。。绝大大都亚组剖析也显示了与全剖析数据集一致的获益。。。其它终点如缓解维持时间(DOR)、患者生涯质量也有改善。。。切合方案集效果与全剖析集效果一致。。。主要有用性数据效果如下:
PFS:试验组PFS中位数比比照组显著延伸约77%,,,疾病希望或殒命的风险降低了约38%,,,具有显著的统计学意义(5.5月vs.3.1月,,,风险比(HR)=0.619,,,P<0.0001),,,切合方案集效果与此一致。。。(图3)

图3.PFS
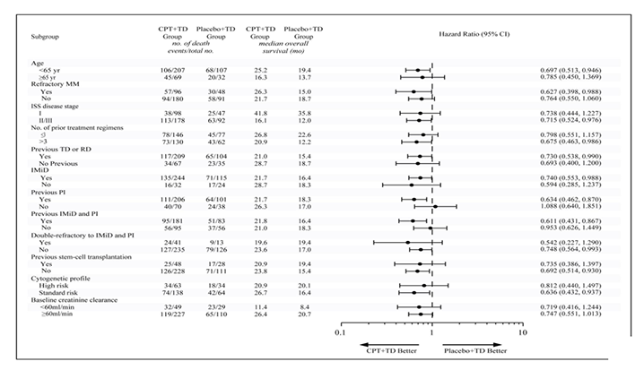
PFS亚组剖析显示,,,绝大大都亚组都体现了试验组PFS的显著获益,,,如既往未经由免疫调理剂治疗的亚组延伸4.8个月,,,约1.3倍(8.5个月vs.3.7个月,,,HR=0.338;;;;P=0.0081);;;;骨髓瘤ISS分期Ⅰ期亚组延伸4.4个月,,,约1.5倍(7.4个月vs.3.0个月,,,HR=0.486;;;;P=0.0006);;;;难治性亚组延伸约73%(6.4个月vs.3.7个月,,,HR=0.585;;;;P=0.0132);;;;卵白酶体抑制剂和免疫调理剂双药难治性亚组延伸约一倍(3.7个月vs.1.8个月,,,HR=0.358;;;;P=0.0051)等。。。(图4)

图4. 亚组剖析
试验组中位OS比比照组显著延伸约5个月,,,存活时间约延伸30%,,,且有显著的统计学意义(切合方案集:22.1个月vs.17.0个月,,,HR=0.712,,,P=0.0131);;;;全剖析集:21.8个月vs.17.0个月,,,HR=0.723,,,P=0.0166)。。。(图5)

图5.OS
关于OS的亚组剖析显示,,,绝大大都亚组都体现了试验组OS的显著获益,,,纵然在难治性亚组中位OS也延伸凌驾了11个月,,,存活时间约延伸75%(26.3个月vs.15.0个月,,,HR=0.627,,,P=0.0443);;;;既往治疗方案线数>3的亚组延伸约10个月,,,存活时间约延伸一倍以上(20.2个月vs.9.9个月,,,HR=0.610,,,P=0.0465)。。。别的,,,在最佳疗效为PR或更好疗效的人群中,,,两组也均获得最大的OS获益,,,试验组获益越发显着(42.9个月vs.31.6个月,,,HR=0.406,,,P=0.03)。。。(图6)

图6.亚组剖析:OS
ORR:试验组的ORR(指获得PR或更好缓解的百分率)显着优于比照组(30.4%vs.13.7%,,,P=0.0002),,,切合方案集效果与此一致。。。(图7)

图7.ORR
ORR亚组剖析也显示,,,绝大大都亚组都体现了试验组ORR的显着获益,,,如既往未经由卵白酶体抑制剂治疗的亚组(41.4%vs.15.8%,,,P=0.0092)、难治性亚组(36.5%vs.12.5%,,,P=0.003)、卵白酶体抑制剂和免疫调理剂双药难治性亚组(26.8%vs.0,,,P=0.0484)等。。。别的,,,试验组的临床获益率(指获得MR或更好缓解的百分率)也显着优于比照组(45.3%vs.29.5%,,,P=0.0021)。。。(图7-8)

图8.亚组剖析:ORR
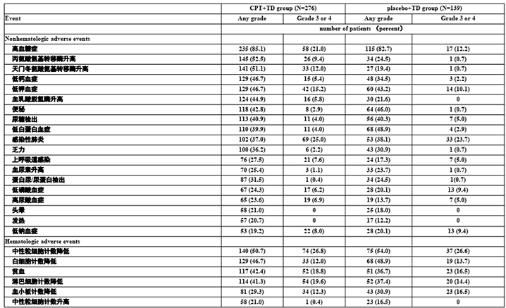
清静性方面,,,CPT治疗骨髓瘤的耐受性优异,,,治疗中泛起的不良事务(TEAE)和严重不良事务(SAE)的总体爆发率,,,导致终止治疗、停用试验药物、调解药物剂量、转归为殒命的TEAE的爆发率,,,两组间均无统计学差别。。。重度TEAE(CTCAE3级或4级)、主要不良事务(除SAE外,,,爆发的任何导致接纳针对性医疗步伐如停药、剂量调解和对症治疗的不良事务)爆发率及与CPT/慰藉剂相关的TEAE试验组略高于比照组(差别有统计学意义)。。。
值得关注的是,,,在现有治疗多发性骨髓瘤的药物中所见的严重的血液学毒性、神经毒性、肾脏毒性、心脏毒性、继发肿瘤等,,,尚未在CPT治疗中发明明确的相关证据。。。(图9)

图9.不良反映事务
研究者说

陈文明教授
首都医科大学隶属北京向阳医院
CPT是全球首个完成III期临床试验的针对TRAIL的殒命受体4和殒命受体5靶点的促凋亡激动剂,,,同靶点药物现在海内外均无上市。。。
中国本研究所获得的数据批注:试验效果切合研究方案预期,,,抵达研究终点。。。与慰藉剂联合TD方案相比,,,CPT联合TD方案治疗复举事治的多发性骨髓瘤可以显著提高受试者的无希望生涯期(PFS)、总体存活时间(OS)、总体反映率(ORR)和疾病希望时间(TTP),,,对其它终点如缓解维持时间(DOR)、患者生涯质量也有改善。。。绝大大都亚组剖析也显示了与全剖析数据集一致的获益,,,尤其在卵白酶体抑制剂和免疫调理剂双药难治性的亚组也体现出显著的获益。。。
CPT主要的不良反映为肝脏相关的异常,,,约90%属于轻度的异常,,,并且可逆,,,降低剂量或停药后可以很快恢复,,,未见肝衰竭或肝脏异常导致的殒命病例。。。CPT在血液学毒性、神经毒性、肾脏毒性等方面的优异清静性,,,为CPT普遍的联适用药提供了清静性包管。。。
综上,,,在相对更晚期和更难治的多发性骨髓瘤人群中,,,CPT联合TD方案体现出明确的疗效和总体优异的清静性,,,从风险获益、临床未知足的需求、奇异的药物靶点以及联适用药的可及性等角度综合剖析,,,CPT一旦上市将为多发性骨髓瘤治疗开发一个全新的治疗领域,,,为患者提供新的药物选择。。。
文章转自《肿瘤瞭望》
扫二维码用手机看
Copyright ? PP电子 All Rights Reserved. 鄂ICP备05001864号-1 网站建设:中企动力 武汉
TOP